Zinc Bisglycinate: Dạng kẽm sinh khả dụng cao cho miễn dịch
Khám phá Zinc Bisglycinate, dạng kẽm chelate với sinh khả dụng vượt trội, hỗ trợ miễn dịch, cải thiện da, tóc, móng và sức khỏe sinh sản. Tìm hiểu công dụng, liều dùng và ưu điểm so với các dạng kẽm khác.
Kẽm là gì và tại sao cơ thể cần kẽm?
Kẽm là một trong những khoáng chất vi lượng thiết yếu đối với cơ thể con người. Dù chỉ cần một lượng rất nhỏ mỗi ngày, nhưng kẽm tham gia vào hơn 300 phản ứng enzym và ảnh hưởng trực tiếp đến miễn dịch, sự phát triển, khả năng sinh sản, sức khỏe da, tóc, móng và quá trình lành thương.
Thiếu hụt kẽm thường dẫn đến tình trạng dễ mắc bệnh, vết thương chậm lành, rụng tóc, nổi mụn và suy giảm chức năng sinh lý. Chính vì vậy, bổ sung kẽm đúng cách và đúng dạng là yếu tố quan trọng để duy trì sức khỏe toàn diện.
Nguồn thực phẩm giàu kẽm & nhu cầu khuyến nghị
ZInc bisglycinate vốn không thể được cung cấp trực tiếp thông qua chế độ ăn, còn kẽm nguyên tố thì có thể. Các thực phẩm giàu kẽm bao gồm hàu, cua, tôm, thịt đỏ (bò, cừu), thịt gia cầm, các loại đậu, hạt bí ngô, hạt điều, ngũ cốc nguyên hạt và sữa.
Thực phẩm tự nhiên là nguồn kẽm tốt nhất. Tuy nhiên, kẽm trong thực phẩm từ thực vật thường có sinh khả dụng thấp hơn do sự hiện diện của phytate, một chất ức chế hấp thu kẽm. Vì vậy, những người ăn chay hoặc có chế độ ăn nhiều ngũ cốc nguyên hạt cần lưu ý về nguy cơ thiếu kẽm.
Lượng khuyến nghị hàng ngày (RDA):
- Nam giới trưởng thành: 11mg/ngày
- Nữ giới trưởng thành: 8mg/ngày
- Phụ nữ mang thai hoặc cho con bú: 11-12mg/ngày
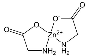
Zinc Bisglycinate là gì?
Để khắc phục hạn chế của các dạng kẽm vô cơ vốn khó hấp thu và dễ gây kích ứng dạ dày, các nhà khoa học đã phát triển dạng kẽm chelate với axit amin. Trong đó, Zinc Bisglycinate – hợp chất giữa ion kẽm và hai phân tử glycine – được xem là bước tiến nổi bật.
Cơ chế hấp thu vượt trội của Zinc Bisglycinate
Zinc Bisglycinate còn chứng minh ưu thế vượt trội về sinh khả dụng.
Trong ống tiêu hóa, hầu hết các dạng kẽm vô cơ như zinc sulfat hay zinc oxide dễ bị gắn kết với phospho hay các khoáng chất khác, khiến khả năng hòa tan và hấp thu giảm mạnh.
Trái lại, ở dạng bisglycinate, kẽm tồn tại dưới dạng phức hợp kẽm-glycine, được cơ thể nhận diện và hấp thu thông qua cơ chế vận chuyển axit amin thay vì cơ chế vận chuyển ion khoáng. Điều này giúp kẽm:
- Hấp thu trực tiếp qua thành ruột, ít bị ảnh hưởng bởi các chất ức chế như canxi, sắt hay đồng.
- Ổn định hơn trong môi trường tiêu hóa, giảm kết tủa hoặc thất thoát trong quá trình tiêu hóa.
Nhờ vậy, chỉ cần một liều thấp Zinc Bisglycinate cũng có thể đạt hiệu quả bổ sung tương đương, đồng thời giảm thiểu nguy cơ tác dụng phụ trên hệ tiêu hóa.
So sánh Zinc Bisglycinate với các dạng kẽm khác
Các nghiên cứu so sánh đã chỉ ra rằng:
Lợi ích sức khỏe của Zinc Bisglycinate
Tăng cường miễn dịch
Tăng cường miễn dịch
Kẽm đóng vai trò quan trọng trong sự phát triển và hoạt động của tế bào miễn dịch, đặc biệt là lympho T. Việc bổ sung Zinc Bisglycinate giúp duy trì chức năng miễn dịch ổn định, hỗ trợ cơ thể chống lại vi khuẩn và virus.
Một số nghiên cứu cũng cho thấy kẽm có thể rút ngắn thời gian và mức độ nghiêm trọng của cảm lạnh hoặc nhiễm trùng hô hấp nhẹ.
Hỗ trợ da, tóc và móng
Hỗ trợ da, tóc và móng
Làn da: Kẽm tham gia điều hòa hoạt động tuyến bã nhờn, từ đó giảm nguy cơ tắc nghẽn lỗ chân lông và hình thành mụn trứng cá. Ngoài ra, kẽm hỗ trợ tổng hợp collagen và thúc đẩy quá trình lành vết thương, giúp duy trì cấu trúc và độ bền của da.
Mái tóc: Kẽm cần thiết cho sự phân chia tế bào và tổng hợp protein tại nang tóc. Thiếu kẽm có thể dẫn đến rụng tóc, tóc mọc chậm và yếu. Bổ sung kẽm, đặc biệt dưới dạng bisglycinate có sinh khả dụng cao, giúp cải thiện tình trạng rụng tóc và hỗ trợ mọc tóc tự nhiên.
Móng: Móng là cấu trúc giàu keratin, đòi hỏi kẽm cho quá trình hình thành và phát triển. Khi thiếu kẽm, móng dễ giòn, dễ gãy hoặc xuất hiện đốm trắng. Bổ sung kẽm giúp duy trì độ cứng và tính toàn vẹn của móng.
Sức khoẻ sinh sản
Sức khoẻ sinh sản
Kẽm là một trong những khoáng chất thiết yếu đóng vai trò quan trọng trong chức năng sinh sản của cả nam và nữ. Dưới dạng Zinc Bisglycinate, khả năng hấp thu và sinh khả dụng được cải thiện đáng kể so với các dạng kẽm vô cơ, nhờ đó cơ thể có thể tận dụng tối đa lợi ích của kẽm đối với hệ sinh sản.
Nam giới: Kẽm tham gia trực tiếp vào quá trình tổng hợp testosterone. Nhiều nghiên cứu đã chỉ ra rằng nồng độ kẽm trong huyết thanh có mối liên hệ mật thiết với mật độ, khả năng vận động và hình thái tinh trùng.
Việc bổ sung Zinc Bisglycinate không chỉ cải thiện nồng độ testosterone mà còn hỗ trợ chất lượng tinh trùng, từ đó nâng cao khả năng thụ thai tự nhiên.
Nữ giới: Kẽm đóng vai trò điều hòa hoạt động của buồng trứng và cân bằng nội tiết. Nghiên cứu cho thấy kẽm tham gia vào cơ chế rụng trứng và sự phát triển của nang trứng, đồng thời hỗ trợ ổn định chu kỳ kinh nguyệt. Việc thiếu kẽm có thể dẫn đến rối loạn rụng trứng, hội chứng buồng trứng đa nang (PCOS) và khó thụ thai.
Ngoài ra, kẽm còn giúp duy trì tính toàn vẹn của lớp niêm mạc sinh dục và bảo vệ cơ thể khỏi stress oxy hóa. Đây chính là cơ chế gián tiếp giúp kẽm, đặc biệt ở dạng Bisglycinate, góp phần nâng cao tỷ lệ thụ thai thành công.
Tiêu hóa và chuyển hóa
Tiêu hóa và chuyển hóa
Zinc bisglycinate không chỉ dễ hấp thu mà còn đặc biệt quan trọng cho sức khỏe tiêu hóa. Kẽm là yếu tố then chốt giúp duy trì sự toàn vẹn của niêm mạc ruột, bảo vệ các tế bào biểu mô và giữ cho các liên kết chặt chẽ giữa chúng không bị phá vỡ. Khi thiếu kẽm, ruột trở nên “rò rỉ”, dễ viêm và giảm khả năng hấp thu dinh dưỡng.
Bổ sung kẽm, nhất là ở dạng bisglycinate, giúp tái tạo niêm mạc, làm tăng chiều dài nhung mao ruột, đồng thời kích thích các tế bào sản xuất chất nhầy bảo vệ. Nhờ vậy, hệ tiêu hóa được củng cố, khả năng phân giải và hấp thu dưỡng chất được cải thiện rõ rệt, mang lại nền tảng cho một quá trình chuyển hóa khỏe mạnh và hiệu quả.
Sức khoẻ mắt và não bộ
Sức khoẻ mắt và não bộ
Sức khoẻ não: Kẽm là một vi chất thiết yếu trong não, tập trung nhiều ở vùng hải mã – nơi liên quan đến trí nhớ và học tập. Nó tham gia điều hòa dẫn truyền, điều chỉnh hoạt động của các chất dẫn truyền thần kinh. Ở trẻ em, bổ sung kẽm giúp hỗ trợ phát triển trí tuệ, còn ở người lớn tuổi, nó góp phần duy trì sự minh mẫn tinh thần.
Sức khoẻ mắt: Trong mắt, kẽm hiện diện với nồng độ cao ở võng mạc và hắc mạc, giữ vai trò then chốt trong hoạt động của enzyme thị giác. Nó giúp bảo vệ tế bào võng mạc khỏi stress oxy hóa và tham gia quá trình điều chỉnh ánh sáng. Thiếu kẽm được chứng minh có liên quan đến giảm thị lực ban đêm và tăng nguy cơ thoái hóa điểm vàng (AMD) ở người cao tuổi.
Ai nên bổ sung Zinc Bisglycinate?
Liều dùng & lưu ý khi bổ sung
Liều khuyến nghị
15–30 mg kẽm nguyên tố/ngày (có thể thay đổi tùy theo nhu cầu cá nhân và tình trạng sức khỏe)
Thời điểm sử dụng
Uống sau bữa ăn để hạn chế kích ứng
Hạn chế
Tránh dùng liều cao kéo dài (trên 40 mg/ngày) để tránh ức chế hấp thu đồng và sắt.
Tham khảo ý kiến
Nên tham khảo ý kiến bác sĩ hoặc chuyên gia dinh dưỡng để xác định liều lượng phù hợp
Tài liệu tham khảo
(1) Wessels, I., Maywald, M., & Rink, L. (2017). Zinc as a gatekeeper of immune function. Nutrients, 9(12), 1286
(2) Kil, M. S., Kim, C. W., & Kim, S. S. (2013). Analysis of serum zinc and copper concentrations in hair loss. Annals of Dermatology, 25(4), 405-409.
(3) Gupta, M., Mahajan, V. K., Mehta, K. S., & Chauhan, P. S. (2014). Zinc therapy in dermatology: A review. Dermatology Research and Practice, 2014, Article 709152.
(4) Hosseinzadeh Colagar, A., Marzony, E. T., & Chaichi, M. J. (2009). Zinc levels in seminal plasma are associated with sperm quality in fertile and infertile men. Nutrition Research, 29(2), 82-88.
(5) Chaffee, B. W., & King, J. C. (2012). Effect of zinc supplementation on pregnancy and infant outcomes: A systematic review. Paediatric and Perinatal Epidemiology, 26(Suppl. 1), 118-137
(6) Zinc is an Essential Element for Male Fertility: A Review of Zn Roles (2018). Journal of Reproduction & Infertility, 19(1)
(7) Wan, Y., & Zhang, B. (2022). The Impact of Zinc and Zinc Homeostasis on the Intestinal Mucosal Barrier and Intestinal Diseases. Biomolecules, 12(7), Article 900
(8) Prasad, A. S. (1985). Zinc, the brain and behavior. Physiological Reviews, 65(4), 858-876
(9) Prasad, A. S. (2014). Zinc: An antioxidant and anti-inflammatory agent: Role of zinc in degenerative disorders of aging. Journal of Trace Elements in Medicine and Biology, 28(4), 364-371
(10) Schoofs, H., Schmit, J., & Rink, L. (2024). Zinc Toxicity: Understanding the Limits. Molecules, 29(13), Article 3130
(11) Ośko, J., Pierlejewska, W., & Grembecka, M. (2023). Comparison of the potential relative bioaccessibility of zinc supplements—In vitro studies. Nutrients, 15(12), 2813.
(12) Hambidge, K. M., & Krebs, N. F. (2022). Dietary Factors Influencing Zinc Absorption. Journal of Nutritional Biochemistry, 104, 108950.
(13) Moeller Gorman, R. (2025, April 7). Zinc: What it does for the body, and the best food sources. Harvard Health Publishing.

